10ГДШ-1-4 (10ГД-36К)

  • Автор темы Автор темы LDS
  • Дата начала Дата начала

Рейтинг динамика

  • 1

  • 2

  • 3

  • 4

  • 5


Результаты будут видны только после голосования.
использовал твёрдый скульптурный пластилин. Он не оставляет следов. Делал плоское кольцо
Не хочу заниматься ловлей блох. Любой пластилин, чтобы он держался, а не просто лежал, нужно сцепление с бумагой, чтобы он прилип. Если не прилип - будет дребезжать при подаче мощности на динамик даже в доли ватта, его будет трясти - он не приклеен к диффузору, и результат будет искажён. А если приклеился, то весьма вероятно, отрываться будет с бумажкой, от обычного пластилина ещё и жирные пятна.
Поэтому лично для себя считаю, что способ ненадежный. Но простой.
Маленькие мощные магнитики всё же лучше держат.
Сильного давления не нужно, пластилин, за счёт приобретения формы диффузора держался хорошо.
Сильно подозреваю, что измерения с пластилином - динамик диффузором вверх, да еще лёжа на столе (совсем нехорошо), иначе ус пластилин отклеится.. Прошло уж много-много лет, но помню как я попробовал и так и этак, и отказался от этого способа.
Правда универсальный измерительный ящик 32 литра стоящий в комнате - огромный минус. Не понимаю, как жена эту дрянь терпит, я бы выкинул.
***
Всё это полупустые разговоры, но вреда от них немного. А вот переделка 10ГД-36 в динамик с нормальной добротностью, что позволяет получить достаточный бас от ШП в ящике разумного объема - это впечатляет. Правда, возможно, стоимость магнитов выше стоимости нормального нового динамика. Но нам важнее прынцып.
 
Посчитать длину провода помещающуюся в высоту зазора ума не надо.
Оказывается надо. Не каждый может правильно посчитать, некоторые в 2 раза ошибаются. Вся катушка нужна или не вся - другой вопрос, на L не влияет. Если L мидбасовая, то и выдавать катушка будет мидбасовый диапазон. Даю подсказку: если L пищалковая - ожидать сабвуферного баса по меньшей мере глупо. Поэтому в той теме и зашёл разговор что для басовика L надо больше. Всю катушку можно увеличить, можно не увеличивать, а L у басовика всегда больше чем у мидбаса, у мидбаса больше чем у среднечатотника, самые маленькие катушки у пищалок. Не надо быть великим специалистом чтобы догадаться, что у басовика в зазоре больше провода чем у других динамиков, ещё больше только у сабвуфера. Тут на форуме много раз выкладывали частотки "басовиков", что тянут до 2-3 кГц, ещё и подъёмами на самом верху. Потому что басовиками их просто захотели назвать, по конструкции они мидбасы, если с подъёмом - ещё и кривые. Сказки про то как они замечательно басят - в пользу бедных. Большие ширики тоже басят, но ни один нормальный человек их басовиками не назовёт.
Очень жаль, что по 100 раз приходится такие элементарные вещи рассказывать. Жаль что с первого раза не дошло.
Кстати, Игорь, обратил внимание что у большого 8-ми Омного ширика L 8 метров, почти столько же как у твоего "басовика"? Значит басить будет примерно так же. С чего бы разнице взяться. Разве что от разницы в Sd - у кого больше, тот и басить будет глубже. Резонанс будем считать одинаковым.

Про JBL с белыми диффузорами не переживай. Те двенашки забрали, десятки принесли. Похоже из той же серии. Как разберём - обязательно взвешу.
 
Последнее редактирование:
Нет проблем: я считаю что посредством таблиц представленных выше пропагандируется бред. Например не может замена феррита на неодим увеличивать Ма в 2 раза, а там именно так и представлено. В другой таблице меняется чувствительность, а добротность остаётся неизменной, чего не может быть в принципе. Это ни что иное как попытка продвижения ложных понятий, упорство с которым подобное повторяется не оставляет сомнений что это целенаправленная акция.
Дмитрий, Вы опять судите по себе. Нет никаких задач что-то пропагандировать, и уж точно это не целенаправленная акция. Я не представитель какой-то фирмы, за мной не стоит команда разработчиков и т.п. Всё просто - увлечение/интерес.

Данный сайт щедро делится любой информацией, за что огромное спасибо его создателю и его команде, всем тем, кто наполняет его. Когда что-то берёшь, то нужно что-то и отдавать. Информации о 10ГДШ на неодиме я тут не встретил, и исходя из вышесказанного решил ею поделиться. Обратную связь от сообщества получил, всем благодарен за дельные советы. Не ошибается тот, кто ничего не делает.

Может бы и к Вашим советам прислушался, но та манера общения, которая исходит от Вас, меня не впечатляет.

А не как сейчас: посылать подальше, заявляя что всё в их таблицах правильно.
Таких заявлений от меня не было - это ложь. Если в чём-то обвиняете, то ссылайтесь на конкретные факты.

Повторюсь, я предоставил итоги замеров и расчётов, выполненных в программе Limp как есть, ничего не убавил и не добавил. Программа позволяет сохранити итоги замеров и в дальнейшем использовать эти данные для прослеживания зависимости итоговых результатов от входных величин. В сообщении 167, мной была поднята тема о влиянии взятого для расчётов размера диаметра "поршня" на исходные результаты. Разработчики программы уделяют этому дополнительное внимание. Они рекомендуют использовать величину от 1/2 (152,5 мм для 10 ГДШ) до 1/3 (150 мм для 10 ГДШ) ширины полосы подвеса. Форумчане применяют величину 160 мм, включил её и ещё добавил диаметр самого диффузора. Если для Вас данный расчёт не представляет интереса, то другим может быть интересен.
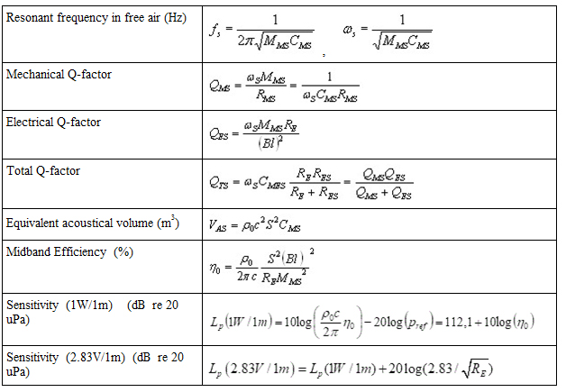
В другой таблице меняется чувствительность, а добротность остаётся неизменной, чего не может быть в принципе.
Повторно прикладываю формулы из руководства программы Limp. Изменение чувствительности происходит в следствии варьирования величины Sd (D), в формулах не прослеживается зависимость любой Q от S.
Limp формулы.jpg

Сильно подозреваю, что измерения с пластилином - динамик диффузором вверх, да еще лёжа на столе (совсем нехорошо), иначе ус пластилин отклеится..
Сергей, я знаком с величиной g )).
Заверяю Вас - всё в пристойном виде, перпендикуляр к столу соблюдается. Ус держится))

Правда, возможно, стоимость магнитов выше стоимости нормального нового динамика. Но нам важнее прынцып.
в 10-ку)
 
Последнее редактирование модератором:
Может бы и к Вашим советам прислушался, но та манера общения, которая исходит от Вас, меня не впечатляет.
Мне от этого ни тепло, ни холодно.
Изменение чувствительности происходит в следствии варьирования величины Sd (D), в формулах не прослеживается зависимость любой Q от S.
Два варианта на выбор: либо у Вас формулы не правильные, либо Вы не умеете ими пользоваться. Какой вариант выбираете?
Кто поверит что 4", 5" и 6" динамики будут иметь ту же добротность что и 8" при тех же B, L, Mmd и Fs? Только дилетанты. Вы верите? Я нет. Догадываетесь почему? Именно поэтому.
Более-менее опытный любитель не только знает что добротность будет разной, но знает в какую сторону, более продвинутый скажет на сколько будет разница. Дилетант считает что она одинаковая и выкладывает таблицы с одинаковой. А как же расчёты? Нафиг расчёты, сойдёт и так.

Правда, возможно, стоимость магнитов выше стоимости нормального нового динамика.
Если магниты выше по стоимости динамика - динамик барахло
Например новый 134-й феррит пригодный для хорошего 8" мидбаса или ширика стоит 500-600 р. Новый динамик за такую сумму - г-но не стоящее упоминания.
 
Мне от этого ни тепло, ни холодно.
В этом вся Ваша сущность, люди спрашивают хотят что-то узнать научиться, а все ваши ответы бла-бла-бла, тонкий стеб, в этом стебе есть подсказки что нужно изменить в конструкции ГД я их понимаю, еще может пару человек, для других это набор букв к сожалению. Не хотите подсказывать/рассказывать, лучше молчать.
Тема про "самый большой шикоропосник в мире" бла-бла 4 страницы, информации полный "0", зачем тогда вообще такая тема?
 
Если честно меня тоже удивило что в теме про большой ШП никто ничего не спрашивал. Видимо всем всё понятно.
для других это набор букв к сожалению.
Они не врубаются, а виноват я. Ну да, конечно.
я их понимаю, еще может пару человек
Чья в этом заслуга? Может тоже моя? Нет, это Вы сами получили самообразование. Вы просто мастер логических построений.
Но некоторая логика есть: одни люди умные, другие .... Не буду уточнять, а то Игорь опять минус поставит. Они видят лишь знакомые буквы, а минус Рутковскому. Вот такая справедливость.
 
бла-бла 4 страницы, информации полный "0", зачем тогда вообще такая тема?
А эта тема как ?
С параметрами не пойми какими с отношением к этому делу ... Расстроен писать не хочется .
Интересно только что там со звуком смотрю фото с сообщения №151 и не понимаю это рупор или дудка =( звучит наверное превосходно .
 
Так новый динамик 10ГДШ и не будет "нормальным" для наших требований . Смысл сравнивать стоимость? Или где-то есть заводские 10ГДШ с такими параметрами?
 
Смысл сравнивать стоимость? Или где-то есть заводские 10ГДШ с такими параметрами?
Не про цену.
Правда, возможно, стоимость магнитов выше стоимости нормального нового динамика. Но нам важнее прынцып.
В десяточку мишени.
 
Хочу поделиться результатами эксперимента по изменению магнитной системы 10ГДШ. Использовал 10 неодимовых магнитов марки N35.
Ещё раз. Результат налицо благодаря LIMP. Информация интересная, особенно то что число магнитов надо подбирать. Наверное, в ряде случаев проще заменить магниты. чем искать установку по их намагничиванию.
Но всплывает вопрос - где такие магниты покупать, чтобы и цена была терпимой, и качество для наших целей хорошее.
***
Ещё раз советую некоторых личностей проигнорировать - не видеть что они пишут, чтобы не оправдываться. Пользы всё равно не получите, только рассуждения и поучения.

АЧХ измерить нет технической возможности.
Думаю, Вам надо изыскать такую возможность.
Советую использовать (для начала) обычный электретный китайский капсюль за 3 копейки (чаще - бесплатно). Я уже рекомендовал настольный компьютерный микрофон "для Скайпа". Он удобен тем что держится, есть трубка - не нужны слесарные работы.
Усилитель простейший, их кучи, высокое усиление не требуется!! На память около 30. Вход звуковой карты - линейный.
Если есть возможность спаять плату самому, советую усилитель Fenyx (ник автора).
Усилитель на динамик - простейший с однополярным питанием 9...15 В мощностью от 1 до 4 Вт. Только аналоговый и не мостовой. Ну и несколько шнурков и тумблеров. От 2 кГц и ниже калибровка вообще не нужна. Вся информация есть и здесь и в других местах.
Если умеете паять - не проблема.
Даже без файла калибровки - это уже мощный инструмент.
Пример. НЧ динамики можно смотреть внизу даже без корпуса - на сурогатном щитке.
При измерении в упор (от 0 до нескольких см) будет видно что излучает переделанный (или любой) динамик. На воздухе резонанс у него не растет - будет виден и резонанс, и "полка" еслиона есть.
В ЗЯ аналогично, будет видно насколько повысился резонанс в этом корпусе, видно что он излучает без влияния отражений. Это быстр и просто, микрофон в большинстве случаев можно держать в руке.
Бокарёв приводил формулы - как по такой картинке в упор определять добротность на глаз.
Потом, при желании, можно и файл коррекции создать на глаз. Это будет не очень точно, но у большинства микрофонов в области до 10 кГц обычно горб в районе 5 кГц, чаще всего не более 6 дБ, ниже этого область довольно ровная.
Так что ничего невозможного здесь нет. Даже данные с небольшимы ошибками весьма полезны, надо только помнить, что они приблизительны.
 
А не преувеличено количество магнитов? Хватает на них железа?

Вот и я думаю железо 10гдш в насыщении

Конечно не хватает.
Если измеренная индукция в зазоре этого динамика 0.91-1.1Т, то до какого значения её можно увеличить, увеличив магниты, без введения железо в насыщение?
 
Последнее редактирование:
Насыщение - оно как сопротивление, график типа В. Сначала индукция растёт пропорционально увеличению силы магнита, потом медленнее, всегда увеличив магнит можно получить рост индукции. Вопрос только что проще: увеличить магнит или увеличить сечение магнитопровода. У 10ГДШ фланцы уже в насыщении от родного феррита, лучше использовать железо от 15ГД-11 или типа того, КЗ виток переставить.
 
Если индукция в зазоре этого динамика 0.91-1.1Т
Вот к примеру:
МС от купольных пищалок "Sony SS-G5" для катушки в 1" имеет диаметр верхнего фланца 72,0 мм. Толщину 3,5 мм. Точёнка, не прес, не штамп, ни порошковое железо.
Нижний фланец видимо отштампован вместе с керном (МС не разбиралась, но понятно и так) имеет диаметр в 68,5 мм, толщину 4,5 мм.
Магнит феррит диаметром 75,0 мм и толщиной 10,0 мм.
Зазор видимо шириной 0,8...0,85 мм потому как сверло 0,9 мм в него не лезет. Керн по торцу имеет закругление типа фаски, Фланец имеет точеную фаску под углом примерно в 45 градусов и шириной около 0,5 мм.
Индукция в зазоре самая минимальная найденная, равна у первой 1397 mT, у второй 1398 mT. Что в этом виновно если сравнить с МС 10ГД-36К? При всём при том, что по утверждению Димы Рутковского, японцы собирают динамики, а в частности МС к ним из всякого (не буду приукрашивать), из всякого говна. Понаточат понимаешь ли всякой хни и не зная куда девать начинают собирать говно.
 
Игорь, нарисуй разрез зазора в масштабе 10:1 и посмотри внимательно, Щупом тесламетра потыкай - оцени ситуацию.
Чтобы пищалка нормально работала все витки её должны находиться в одинаковой индукции. Чем меньше высота цилиндрической части зазора тем меньше высота равной индукции и она всегда меньше зазора. Чем шире зазор, тем тоже меньше высота равной индукции. В описанной тобой японской пищалке индукция как минимум в 2 раза меньше зазора. У них вообще часто высоты равной индукции нет, щуп опускаешь - индукция растёт, поднимается до максимума и тут же (при дальнейшем опускании щупа) начинает падать. Т.е. график индукции по высоте - горб с резким обвалом с обеих сторон. И ладно бы в максимуме было много, но твои япошки не дотянули даже до обычных советских пищалок где 1.4Т обычное дела, часто больше. Правда у наших 86-е ферриты. Глупо экономить на копеечном феррите, новый 86-й сегодня стоит 200-300 рублей, с ним без проблем можно получить 1.7Т в хорошем пищалковом зазоре.
 
не дотянули даже до обычных советских пищалок где 1.4Т обычное дела, часто больше.
Я написал о
самая минимальная найденная
Та, что больше, в районе 1450 mT.
Правда у наших 86-е ферриты.
Правда у Сонек 75 ферриты и тоньше в 1,5 раза.
Глупо экономить на копеечном феррите, новый 86-й сегодня стоит 200-300 рублей, с ним без проблем можно получить 1.7Т в хорошем пищалковом зазоре.
Димаааа! Вот зачем ты это написал в привязке к моему сообщению?
Привязывай его к 10ГДШ.
Я отвечал, спрашивал и приводил сравнение в ответ на
Если измеренная индукция в зазоре этого динамика 0.91-1.1Т, то до какого значения её можно увеличить, увеличив магниты, без введения железо в насыщение?
P.S. по просьбе товарища делали замеры в зазорах стандартных МС отечественных купольных пищалок. Штук десять он достал из коробки. Ни одна не показала выше 1400 mT. Зато габариты и по кругу штамповка.
 
У 10ГДШ фланцы уже в насыщении от родного феррита,
Я поставил на керн спереди магнит (таблетку), ещё процентов на 5 подросла.
Что в этом виновно если сравнить с МС 10ГД-36К?
У 10гдш-1 зазор 1.5мм.
+70% неизбежно снизит.
 
Димаааа! Вот зачем ты это написал в привязке к моему сообщению?
Привязывай его к 10ГДШ.
Привязываю: у 10ГДШ тоже 86-ой феррит который насыщает железо точно так же как 86-ой феррит советских пищалок. Это значит что одинаковые по материалу и толщине фланцы будут насыщаться одинаково и керны тоже, т.е. опыт приобретённый на пищалках можно использовать в шириковых цепях.
Ни одна не показала выше 1400 mT.
Пищалки разные бывают. Например бердские имели широкий зазор, у них всегда была индукция ниже. Краснолучевские лучше, полторы Теслы попадалось неоднократно. Надо только 6ГД-13 искать, максимум 6ГДВ-4, потом пошёл брак.
Повторю на всякий случай: если разобрать те 10 пищалок с индукцией ниже 1.4Т, то можно добыть 10 86-х ферритов. Если использовать их для конструирования пищалок (сделать новые цепи), то индукция может быть какая угодно в зависимости от желания конструктора. Лично я предпочитаю по-больше, поэтому 1.7Т. 72-е и 76-е ферриты клею сзади, получается 1.8Т.

Не могут или не хотят - надо спросить у конструкторов. Например лёгкие подвижки делать не хотят, предпочитают тяжёлые, с ними монументальнее. Есть подозрение что с индукцией та же история.
 
Ну ответьте мне, сирому и убогому: если у 10гдш-1 железо в насыщении, то почему, при доп. магите на керн спереди, ещё 5% прибавляется? Ну не понимаю я! Не совсем насытилось?
 
Ну ответьте мне, сирому и убогому: почему, при доп. магите на керн спереди, ещё 5% прибавляется? Ну не понимаю я! Не совсем насытилось?
Сзади уже насытилось, совать уже не надо, а спереди еще не насытилось - всё просто.
 
Последнее редактирование модератором:
Ну ответьте мне, сирому и убогому: если у 10гдш-1 железо в насыщении, то почему, при доп. магите на керн спереди, ещё 5% прибавляется? Ну не понимаю я! Не совсем насытилось?
Потому что говорить на эту тему может не только лишь каждый просто мало кто умеет это делать smile_1

Все говорят что железо в насыщении но никто не говорит где именно оно насыщено .
Только KSV сказал и все =( Керн у основания слабое звено .
 
спереди еще не насытилось - всё просто.
но никто не говорит где именно оно насыщено .
Только KSV сказал
Спасибо, сам бы вжисть не додумал.
Лучше сделать так
KSV, спасибо, но можно я сам буду решать кого куда?) Я смотрю на эту проблему под другим углом, а еслиб обижающиеся форумчане работали бы в нашей бригаде с Валенином Ивановичем, то стиль общения Дмитрия им показался бы юмором в журнале Мурзилка. Жалко, что Валентина Ивановича давно уже нет... По прошествии 20 с лишним лет, когда случайно встречаемся, всегда с душевным теплом его вспоминаем.
Т.е. график индукции по высоте - горб с резким обвалом с обеих сторон.
Про магниты:
Давно встречал статью, где описывалась разная кривая намагничивания в зазоре при исп-нии разных магнитов. Самая ровная была у алнико, потом два вида ферритов, а самая "кривая" у неодима. Электромагнит в конкурсе не учавствовал(. Вот думаю, что будет с этой кривой при соседстве феррита с неодимом.
 
Спасибо, сам бы вжисть не додумал.
Мне смешно было писать тот комментарий а теперь и Ваш ответ )))

Давно встречал статью, где описывалась разная кривая намагничивания в зазоре при исп-нии разных магнитов. Самая ровная была у алнико, потом два вида ферритов, а самая "кривая" у неодима. Электромагнит в конкурсе не учавствовал(. Вот думаю, что будет с этой кривой при соседстве феррита с неодимом.
Кривая намагничивания или все таки перемагничивания ?
Там кстати еще сам магнитопровод не мало решает потому говорить что лучше сложно .
 
Например раз 10 писал что замена керна на 10880 даёт прирост индукции на 4-5%, проверяли как раз на таких пищалках и на 10" шириках, процент оказался очень близким.

Смотри:
  1. было 1.4Т, как у всех, мы не сразу стали гениальными конструкторами.
  2. посмотрели на 15ГД-11 и подумали: нафига они толстые фланцы применили, неужели дураки, и тоже попробовали - оп-па, индукция повысилась.
  3. помнишь неоднократно писали, в т.ч. на этом форуме, что самое насыщение у основания керна? Видел ведь кучу фото наших цепей, у всех керны внизу толще чем в зазоре.
  4. армко.
  5. положили/не положили - другой вопрос, работа продолжается, например последние 15" ширики показали 1.86, предыдущие были 1.82.
  6. с пищалками видимо уже максимум достигнут, кол-во экспериментов было большим, если и удастся ещё поднять то прирост будет минимальный, лишь бы наоборот не потерять.
  7. все эти ответы уже были.
 
Давно встречал статью, где описывалась разная кривая намагничивания в зазоре при исп-нии разных магнитов. Самая ровная была у алнико, потом два вида ферритов, а самая "кривая" у неодима.

Константин
Все же думаю что тема не в кривой намагничивания а в частоте гистерезиса и магнитного момента системы .
Это если в зазоре .
Значит вопрос в перемагничивании .
Во первых гистерезис у альнико более упругий . Альнико не держит высокие частоты .
Во вторых большая роль отведена свойствам магнитопровода .
Не просто так некоторые люди отмечают что системы на альнико имеют более мягкий звук =) (глупо звучит но пускай упрощенно)
А более мягкий он по тем причинам о которых намекнул (но не объяснил) и потому что сам магнит размагничен (удары, перемагничивание, нагрев пр.) в итоге пики смазаны звук как бы мягче .
Интерес только к графику ... альнико распределяет нагрузку но заваливает на краях .
Это очень обширная прекрасная тема затрагивающая очень многие вопросы . И в ней тоже есть параметр добротность =)
 
Это очень обширная прекрасная тема затрагивающая очень многие вопросы .
Прекрасная - не то слово.
Например 4А-32 бывают с альнико магнитами, бывают с ферритами, индукция вроде одинаковая. Начинаешь улучшать цепи, индукция начинает расти, но быстрее растёт у ферритовых. Чем сильнее углубляешься в нюансы - тем больше разница. Причём все конструктивные моменты влияют положительно на все цепи, что говорит о полезности их для любых магнитов. Но разница достигла таких значений, что вопрос стал настойчиво требовать ответа, а его нет.
 
Прекрасная - не то слово.
Например 4А-32 бывают с альнико магнитами, бывают с ферритами, индукция вроде одинаковая. Начинаешь улучшать цепи, индукция начинает расти, но быстрее растёт у ферритовых. Чем сильнее углубляешься в нюансы - тем больше разница. Причём все конструктивные моменты влияют положительно на все цепи, что говорит о полезности их для любых магнитов. Но разница достигла таких значений, что вопрос стал настойчиво требовать ответа, а его нет.
А что за вопрос на который нету ответа ? (распирает интерес)

А по индукции у меня все плоско :)
Не всегда большое ее наличие в системе говорит о равномерном ее распределении ! + добавляется поле катушки и как правило у большинства сборок вся индукция замыкается фактически ниже зазора . Железо на углах насыщается неравномерно . Проницаемость железа падает . Ставится катушка и начинаются потери . Даже не от большого или хоть какого ни будь смещения катушки а потому что поле катушки по сути магнит который меняет свой полюс в среде с изначальными потерями. На любых частотах катушка стремится занять центр зазора потому что играет роль электрическое поле и даже материал медь и геометрия катушки Но магнитное поле катушки сильнее а значит стремится к 0 отметке которое фактически находится ниже центра зазора =(
Вот благодаря этой разнице имеем потери всевозможные и нагрев с фуко не первые ))) частотный гистерезис сдвинут высокие импульсы сигнала не в такт с др. в итоге ...
Самое обидное что все эти потери всегда были и будут в системе но где их больше тем звука - музыки в итоге будет меньше . Это тема микродинамики наверное )))) Если подвижка хорошая !
Да и вообще тема дивная ... Никому не зайдет (

... меня вот тоже отговаривают от индукции большой а мне мало 1.86 что есть сейчас в ШП даже 49кф2 приготовил чтобы по максимуму в зазоре было .
Хорошо ли когда в ВЧ 1.4 не знаю но то что более 2Т сильно лучше понимаю и слушал . Правда дорого такие делать и не люблю звук ВЧ с динамиков ВЧ .
 

Последние сообщения

Статистика форума

Темы
3,312
Сообщения
264,417
Пользователи
2,551
Новый пользователь
Александр Н.
Назад
Сверху Снизу