Добротность динамиков

  • Автор темы Автор темы Сергей ДВ
  • Дата начала Дата начала
Статус
В этой теме нельзя размещать новые ответы.
Не совсем так. Чтобы понять механику движений диффузор относительно тока, картину происходящего нужно дополнить одним недостающим элементом - микрофоном (мембранной микрофона).

Чему соответствует длящийся постоянный (условно) ток сигнала? Для очевидности возьмём предельно короткий промежуток времени, чтобы не упереться в механические ограничения.
Постоянный длительное время ток в сигнальной цепи соответствует такому же продолжающемуся движению мембраны микрофона.
Возможно я над этим подумаю.
Однако есть системы микрофонов, которые переводят в электрический сигнал не скорость мембраны, а смещение, например - электретный.
Но это всё частности, не важно, каким образом получен сигнал, задача динамика - воспроизвести с наименьшими искажениями.
 
Возможно я над этим подумаю.
Однако есть системы микрофонов, которые переводят в электрический сигнал не скорость мембраны, а смещение, например - электретный.
Но это всё частности, не важно, каким образом получен сигнал, задача динамика - воспроизвести с наименьшими искажениями.
Дмитрий Рутковский в своей фирме аналогичный эксперимент демонстрировал (по крайней мере мне). И каждый может повторить.

Берутся два низкодобротных динамика с очень высокой чувствительностью и BL. Просто соединяются друг с другом двумя кабелями достаточного сечения. При нажатии руками на диффузор одного - диффузор второго динамика совершает те же самые движения, вплоть до того, что на время может замереть в смещенном от равновесия положении, если продолжать надавливать на первый динамик.

Все то же самое и с микрофоном.
 
При нажатии руками на диффузор одного - диффузор второго динамика совершает те же самые движения, вплоть до того, что на время может замереть в смещенном от равновесия положении, если продолжать надавливать на первый динамик.
Хоть убейте, это не те же самые: один двигается, другой стоит.
 
Хоть убейте, это не те же самые: один двигается, другой стоит.
Высокодобротные головки этого "фокуса" не покажут. У них убита чувствительность для избавления от электромагнитного тормоза. У них мизерный обратный ток (противо-ЭДС).

Работает только с низкодобротными головками. У меня при первом посещении аж глаза на лоб полезли. Такое ощущение, что диффузоры связаны механически. Один сам повторяет движения другого.
 
Катушка совершает работу- двигает воздух. Работа пропорциональна не постоянному напряжению на катушке, а величине его изменения (и кпд динамика). Верно?

Катушка не может двигатся самостоятельно потому что ее противо-эдс закорочена усилителем с ООС. Нет никаких "своих колебаний" Верно?

Кпд динамика увеличивается на частоте основного резонанса и катушка там совершает всего лишь больше работы, никаких собственных колебаний нет. Верно?
 
Да, именно так! Все остальное чистая лирика.
"Заняла положение" - у нас не сервопривод с ШД, невозможно, движение продолжается. Пока есть ток и магнитное поле - действует сила Лоренца. В допущении - катушка хоть частично в зазоре и не упёрлась в возможности демпфера механически, то есть - штатная работа головки.
"Стоит, как прибитая" - смотри п1. Силы дожны быть уравновешены для этого, F=-F, если просто.

Возможно я над этим подумаю.
Однако есть системы микрофонов, которые переводят в электрический сигнал не скорость мембраны, а смещение, например - электретный.
Но это всё частности, не важно, каким образом получен сигнал, задача динамика - воспроизвести с наименьшими искажениями.
И угольный :)

вплоть до того, что на время может замереть в смещенном от равновесия положении, если продолжать надавливать на первый динамик.
Это серьёзно? Это не гидравлика! :)
 
Катушка совершает работу- двигает воздух. Работа пропорциональна не постоянному напряжению на катушке, а величине его изменения (и кпд динамика). Верно?
Связь напряжения с работой сложная. Проще рассматривать через ток. Сила Лоренца, толкающая катушку равна I*B*L. Если при этом катушка точно следует за сигналом, собственный ток генерации она не вырабатывает. Комплексное сопротивление ЗК минимально. При фиксированном выходном напряжении усилителя катушка пропускает через себя максимальный ток. Если ток максимальный - то и толкающая сила Лоренца максимальна.
Но как только появляются собственные колебания катушки (отклонения от сигнала), только в этот момент она генерирует собственный ток, который препятствует току от усилителя. В этот момент у катушки комплексное сопротивление резко возрастает. Соответственно при том же напряжении усилителя - ток в ЗК падает. Раз ток упал, то и упала (снизилась) сила Лоренца.
Катушка не может двигатся самостоятельно потому что ее противо-эдс закорочена усилителем с ООС. Нет никаких "своих колебаний" Верно?
Именно. В самую точку! Комбинация противо-ЭДС мощной головки и нулевое сопротивление усилителя - моментально тормозят любые движения ЗК "не по сигналу"! Например, резонансы. Сами ответьте на вопрос, а что делает Высокодобротная братия для получения резонансных колебаний у головок? Два варианта: 1. Взять головки без противо-ЭДС; 2. Запитать низкодобротную головку через большой резистор, через пассивные фильтры, от лампового усилителя с максимально большим выходным сопротивлением.
Кпд динамика увеличивается на частоте основного резонанса и катушка там совершает всего лишь больше работы, никаких собственных колебаний нет. Верно?
Конечно. Низкодобротная головка, если подать на нее испытательный сигнал на частоте резонанса, просто сама ограничит прием тока от усилителя, чтобы не совершать лишних движений. Ей будет достаточно мизерного тока и мощности, чтобы развивать на резонансе амплитуды строго по сигналу, без резонансных раскачек.
 
"Заняла положение" - у нас не сервопривод с ШД, невозможно, движение продолжается. Пока есть ток и магнитное поле - действует сила Лоренца. В допущении - катушка хоть частично в зазоре и не упёрлась в возможности демпфера механически, то есть - штатная работа головки.
"Стоит, как прибитая" - смотри п1. Силы дожны быть уравновешены для этого, F=-F, если просто.
Да что вы такое говорите? Да неужели так? Андрей, вспомните физику, школьный курс. Вроде динамика называлась. Я конечно смутно, но что-то помню...
Смотрите... на катушку в динамике действует много разных сил. Перечислю основные. Сила незабвенного Лоренса, ну как бы главная наша сила. Сила упругости пружины подвеса - тоже главнейшая. Без нее динамик бы не работал. Ну и две силы второстепенные, сила трения подвеса и сила, вызванная током противоЭДС.
_______________________________________
Когда все силы (главные силы) уравновешены, катушка стоит на месте, не шелохнется. Если какая-то сила преобладает, катушка начинает двигаться и двигается до тех пор, пока силы опять не уравновесятся. Причем положения равновесия катушки относительно зазора будут разные, в зависимости от соотношения основных сил.
______________________________________
Приведу простейший пример. Пока с основными силами. До подачи сигнала катушка занимает свое исходное положение вблизи нуля. Все силы уравновешены, поскольку они все равны 0. Подадим на катушку сигнал, допустим в виде трапеции. В катушке начинает течь ток, появляется сила Лоренса. Катушка начала отклоняться. Одновременно с ее отклонением появляется сила упругости подвесов, которая, как известно подчиняется закону Гука, который гласит, что сила упругости прямо пропорциональна расстоянию отклонения и направлена противоположна воздействию.
Итак, ток растет по линейному закону, катушка перемещается, сила упругости компенсирует силу Лоренса в каждой отдельно взятой точке на наклонной прямой возрастания тока. Именно сила упругости не дает катушке двигаться как попало. Расстояние перемещения строго пропорционально току в катушке, протекающему в данный момент времени.
Далее ток рос-рос и вышел на горизонтальный участок. Ток продолжает течь, но рост его прекратился. Сила Лоренса зафиксировалась на какой-то величине. Движение катушки тоже прекракратилось в тот момент, когда сила упругости сравнялась с силой Лоренса. Ток течет, катушка заняла свое равновесное состояние и стоит на месте.
Горизонтальная часть сигнала кончилась. Ток начал падать, а с ним и сила Лоренса. Сила упругости больше силы Лоренса. Силы стремятся уравнять друг друга. Катушка начала свое возвращение назад к своему начальному положению. Причем здесь роли сил поменялись, сила упругости доминирует, сила Лоренса сдерживает. Вот так как то работает динамик. Даже, если бы не было второстепенных сил, динамик все равно бы работал, и расстояние отклонения катушки было бы пропорционально току, через нее протекающему. Причем любой, абсолютно без разницы высокодобротный или низкодобротный. Пофигу. Так что строгому следованию катушки за сигналом мы обязаны в первую очередь СИЛЕ ЛОРЕНСА и СИЛЕ УПРУГОСТИ и их противоборству. Да здравствуют закон Гука.
Но как всегда, появлятся что-то, что норовит обосрать такую прекрасную идилию.
Попозже поговорим о т. н. демпфирующих силах. Как бы по теме.
 
Последнее редактирование:
Последняя попытка. Правило Ленца.
Как только началось движение (изменение положения проводника в магнитном поле) сразу включаются "тормоза".
"Газ и тормоз" связаны гибкой пластиной. Гибкость этой пластины и есть добротность (в липездрической части). Чем ниже добротность - тем жёстче пластина.
Если бы не было этих "тормозов" хрен бы мы добились бы равномерного вращения обычного электромотора.
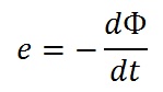
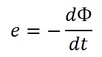
Минус в формуле все видят?

Противо ЭДС.jpg

картинка:

Правило Ленца.jpg



Когда все силы (главные силы) уравновешены, катушка стоит на месте,
Или совершает равномерное прямолинейное движение... ;)
 
Или совершает равномерное прямолинейное движение... ;)
Вы что-то путаете, ей некуда совершать это движение. При любой попытке двинуться произойдет разбаланс сил, который с криком "Не дергайся" отбросит ее туда, где ей положено СТОЯТЬ.
 
При любой попытке двинуться произойдет разбаланс сил
Если приложить силу - тело будет двигаться с ускорением, в направлении приложенной силы.
При равномерном прямолинейном движении все силы уравновешенны (забыл добавить) в инерциальных системах отсчёта.
Примерно так:

Силы самолёта.jpg
 
Да что вы такое говорите? Да неужели так? Андрей, вспомните физику, школьный курс. Вроде динамика называлась. Я конечно смутно, но что-то помню...
Смотрите... на катушку в динамике действует много разных сил. Перечислю основные. Сила незабвенного Лоренса, ну как бы главная наша сила. Сила упругости пружины подвеса - тоже главнейшая. Без нее динамик бы не работал. Ну и две силы второстепенные, сила трения подвеса и сила, вызванная током противоЭДС.
_______________________________________
Когда все силы (главные силы) уравновешены, катушка стоит на месте, не шелохнется. Если какая-то сила преобладает, катушка начинает двигаться и двигается до тех пор, пока силы опять не уравновесятся. Причем положения равновесия катушки относительно зазора будут разные, в зависимости от соотношения основных сил.
______________________________________
Приведу простейший пример. Пока с основными силами. До подачи сигнала катушка занимает свое исходное положение вблизи нуля. Все силы уравновешены, поскольку они все равны 0. Подадим на катушку сигнал, допустим в виде трапеции. В катушке начинает течь ток, появляется сила Лоренса. Катушка начала отклоняться. Одновременно с ее отклонением появляется сила упругости подвесов, которая, как известно подчиняется закону Гука, который гласит, что сила упругости прямо пропорциональна расстоянию отклонения и направлена противоположна воздействию.
Итак, ток растет по линейному закону, катушка перемещается, сила упругости компенсирует силу Лоренса в каждой отдельно взятой точке на наклонной прямой возрастания тока. Именно сила упругости не дает катушке двигаться как попало. Расстояние перемещения строго пропорционально току в катушке, протекающему в данный момент времени.
Далее ток рос-рос и вышел на горизонтальный участок. Ток продолжает течь, но рост его прекратился. Сила Лоренса зафиксировалась на какой-то величине. Движение катушки тоже прекракратилось в тот момент, когда сила упругости сравнялась с силой Лоренса. Ток течет, катушка заняла свое равновесное состояние и стоит на месте.
Горизонтальная часть сигнала кончилась. Ток начал падать, а с ним и сила Лоренса. Сила упругости больше силы Лоренса. Силы стремятся уравнять друг друга. Катушка начала свое возвращение назад к своему начальному положению. Причем здесь роли сил поменялись, сила упругости доминирует, сила Лоренса сдерживает. Вот так как то работает динамик. Даже, если бы не было второстепенных сил, динамик все равно бы работал, и расстояние отклонения катушки было бы пропорционально току, через нее протекающему. Причем любой, абсолютно без разницы высокодобротный или низкодобротный. Пофигу. Так что строгому следованию катушки за сигналом мы обязаны в первую очередь СИЛЕ ЛОРЕНСА и СИЛЕ УПРУГОСТИ и их противоборству. Да здравствуют закон Гука.
Но как всегда, появлятся что-то, что норовит обосрать такую прекрасную идилию.
Попозже поговорим о т. н. демпфирующих силах. Как бы по теме.
Расстояние строго пропорционально силе тока при неизменном магнитном поле всегда? А не ускорение диффузора разве? Я вроде указал - пока силы не уравновесятся - есть движение. Не ток определяет положение диффузора, а сумма сил, и я это тоже указал, и это функция от времени (всё не мгновенно), Если ток есть, а движения уже нет - то Силу Лоренца и импульс диффузора или уравновесила сила упругости, ну или катушка вышла из магнитного поля, а это не штатно.
 
Последняя попытка. Правило Ленца.
Как только началось движение (изменение положения проводника в магнитном поле) сразу включаются "тормоза".
"Газ и тормоз" связаны гибкой пластиной. Гибкость этой пластины и есть добротность (в липездрической части). Чем ниже добротность - тем жёстче пластина.
Если бы не было этих "тормозов" хрен бы мы добились бы равномерного вращения обычного электромотора.
Минус в формуле все видят?

Посмотреть вложение 75168

картинка:

Посмотреть вложение 75170



Или совершает равномерное прямолинейное движение... ;)
А напомните, пожалуйста, с каким типом громкоговорителей мы имеем дело? С электромагнитными или электродинамическими??

А не путаете ли вы правило Ленца и закон Фарадея с действием силы Лоренца? А???

А на ориентацию магнитных полей для закона Фарадея и силы Лоренца посмотреть не нужно???

Вас не удивляет тот факт, что в громкоговорителях электродинамического типа магнитные поля каким-то странным образом ориентированы??? Вот кто и зачем их так поставил??? Как же будет ЭДС по Фарадею плюс противодействие по Ленцу индуцироваться в ЗК???

Вот в этом и есть различие ЭЛЕКТРОМАГНИТНЫХ и ЭЛЕКТРОДИНАМИЧЕСКИХ громкоговорителей!

Во втором случае специально сделано так, чтобы работала только сила Лоренца. А Фарадей с Ленцом отдыхали.

Прискорбно на самом деле, эх...
 
а в чем же разница? поля в разные стороны направлены?

smile_15
Они перпендикулярны друг другу в этих двух системах.

Сила Лоренца и ЭДС Фарадея не могут возникать в одной и той же системе сразу. Это определяется ориентацией магнитного поля. Там где работает Лоренц - не работает Фарадей. И наоборот

Поэтому я с самого начала не переношу упоминания ЭДС применительно к электродинамическим головкам. ЭДС ввел Фарадей. А у Лоренца работают просто токи (сила Лоренца).

Но в научной литературе уже с оговорками пишут, что ЭДС также может выступать и в ипостаси с силой Лоренца. Потому что запутались уже все
 
А Фарадей с Ленцом отдыхали.
Да они бы может с удовольствием и отдохнули, да только вселенная не даёт нам вечный двигатель построить. smile_10
Закон сохранения энергии, понимаш...

ЭЛЕКТРОДИНАМИЧЕСКИХ громкоговорителей!
Это всего лишь означает - движимые электричеством.
работают просто токи
Просто - в нашем мире ничего не работает. Нет просто токов, нет просто магнетизма. Есть электромагнитные процессы и взаимодействия.
Потому что запутались уже все
Запутались Вы. Читайте уже старые добрые учебники, а не околонаучную литературу фигню.
Сила Лоренца и ЭДС Фарадея не могут возникать в одной и той же системе сразу.
Могут, однако!
По секрету скажу, что если извернёмся и избавимся от Фарадея, то сразу прибежит какой нибудь Фуко или кто-то ещё...:)
Ибо низз-зя...
 
Отстойные динамики таких рассказчиков конечно возвращаются тут же.
Хорошо, давайте так. Берете динамик, подключаете к его клеммам резистор 8 Ом (эквивалент другого динамика), нажимаете на диффузор (вдавливаете его), выдерживаете несколько минут (можете, сколько хотите), отпускаете его.
Вопрос. Через какое время ваш хваленый динамик придет в исходное состояние?
 
Хорошо, давайте так.
Сергей описал опыт достаточно понятно. А Вы можете делать как считаете нужным.

Уже рассказывал. Как-то раз, не так давно, вернули динамики типа потому что когда их подключали к усилителю (выключенному) - подвижки вставали колом, т.е. их практически невозможно было сдвинуть. Усилитель ламповый. Пришлось заменить на другие. Если никуда не подключать ходят без проблем, пятнашки, резонанс не выше 25-ти. Отгадайте: какой КПД у таких динамиков.
Сравните с КПД динамиков которые слушаете. На сколько отличается?
 
Последнее редактирование:
В электромагнитных громкоговорителях магнитное поле соосно оси звуковой катушки. Она работает как соленоид, вырабатывая собственное магнитное поле. Сила Лоренца здесь нигде не возникает, так как не та ориентация магнитных линий и не тот физический принцип.

А у электродинамических головок осевого магнитного поля нет. Собственное магнитное поле катушки ни на что не влияет, никакой работы не совершает, ничто не притягивает и ничто не отталкивает.
Работа электродинамических головок основана на силе Лоренца (Ампера). Это сила, действующая на элементарный заряд (или ток в проводнике), движущийся со скоростью в магнитном поле. Для возникновения силы Лоренца магнитные поля в таком динамике нужно развернуть на 90 градусов, сделаю их перпендикулярными виткам катушки.

Понимаете разницу направления магнитных полей? Соосно катушке или перпендикулярно катушке?))) В этих случаях работают совершенно разные силы. Совмещать ЭДС Фарадея, Ленца и Лоренца в одной системе нельзя))) Это сразу двойка и направление на пересдачу)))
images.png
1475132935_1.jpg
а в чём разница?
 
Это юмор? И там и там они тороидально. :)
У электромагнитных головок - тороидально. Там и обмотки ЗК огроменные, как у дросселей или трансформаторов. Поэтому они и работают как соленоиды на собственном магнитном поле. Им даже магниты не нужны!

Ещё раз о электродинамических головках - собственное поле звуковой катушки:
1. Минимально до предела (это может быть буквально несколько или даже один виток
2. Нет никаких конструктивных металлических (магнитных) элементов, с которыми собственное магнитное поле ЗК могло бы эффективно взаимодействовать, то есть совершать работу по смещению ЗК или вырабатывать противо-ЭДС
3. Поля внешнего магнитного поля, пронизывающего катушку, наоборот, изменены с осевого на перпендикулярное положение относительно витков катушки. Для ЭДС по Фарадею это означает ИСЧЕЗНОВЕНИЕ магнитного поля (все витки ЗК как контуры встали поперек этому магнитному полю и ЭДС по закону Фарадея не вырабатывают)
4. Зато при такой ориентации магнитного поля в проводниках ЗК начинает работать сила Лоренца. Вот она и работает в этих динамиках в полный рост

Насколько я знаю, электромагнитные головки и капсюли появились одновременно с электродинамическими. Но второй тип сразу стал выигрывать по всем параметрам - мощности, КПД, линейности АЧХ, отсутствия гистерезиса, минимума искажений.

На самом деле гениальная конструкция - занулить Фарадея и работать чисто на силе Лоренца. Более 100 лет назад придумали. А дилетанты до сих пор пишут про ЭДС Фарадея и не могут разобраться в принципах работы электродинамических головок, не различают физических законов. Специалисты!)
 
Последнее редактирование:
У электромагнитных головок - тороидально. Там и обмотки ЗК огроменные, как у дросселей или трансформаторов. Поэтому они и работают как соленоиды на собственном магнитном поле. Им даже магниты не нужны!

Ещё раз о электродинамических головках - собственное поле звуковой катушки:
1. Минимально до предела
(это может быть буквально несколько или даже один виток
2. Нет никаких конструктивных металлических (магнитных) элементов, с которыми собственное магнитное поле ЗК могло бы эффективно взаимодействовать, то есть совершать работу по смещению ЗК или вырабатывать противо-ЭДС
3. Поля внешнего магнитного поля, пронизывающего катушку, наоборот, изменены с осевого на перпендикулярное положение относительно витков катушки. Для ЭДС по Фарадею это означает ИСЧЕЗНОВЕНИЕ магнитного поля (все витки ЗК как контуры встали поперек этому магнитному полю и ЭДС по закону Фарадея не вырабатывают)
4. Зато при такой ориентации магнитного поля в проводниках ЗК начинает работать сила Лоренца. Вот она и работает в этих динамиках в полный рост

Насколько я знаю, электромагнитные головки и капсюли появились одновременно с электродинамическими. Но второй тип сразу стал выигрывать по всем параметрам - мощности, КПД, линейности АЧХ, отсутствия гистерезиса, минимума искажений.

На самом деле гениальная конструкция - занулить Фарадея и работать чисто на силе Лоренца. Более 100 лет назад придумали. А дилетанты до сих пор пишут про ЭДС Фарадея и не могут разобраться в принципах работы электродинамических головок, не различают физических законов. Специалисты!)
Выделил то, что тщетно пытался донести до ДР - нет никакой необходимости делать из отличных динамиков - инвалидов, путем увеличения массы провода в зазоре сверх необходимого оптимума. Опыт с соединением двух динамиков это доказывает - один работает в качестве генератора -другой - потребителя. То что потребитель замирает после прекращения движения подвижки генератора и прекращения тока в цепи показывает, какая энергия запасена в безумной индуктивности катушки. Такие поделки неспособны воспроизвести фронты импульсных сигналов и быстрый спад после - индуктивность не дает быстро изменяться току в катушке. Вне зависимости от легкости подвижки, добротности - это динамик для синуса. Внезапность удара барабана пройдет мимо.
Все остальное, конечно, бред сивой кобылы. Например, электромагнитный отличается от эл.динамического только способом получения маг. поля в зазоре - с помощью электромагнита, всё остальное ничем не отличается. Вот ссылка - там все понятно https://www.youtube.com/watch?v=zWZmJGBEkFc

1695362649220.png
 
Последнее редактирование:
То что потребитель замирает после прекращения движения подвижки генератора и прекращения тока в цепи показывает, какая энергия запасена в безумной индуктивности катушки.
Игорь, тут вы, на мой взгляд, опять ошибаетесь. Катушка замирает не потому, что в ней энергия запасена, а потому, что движению препятствует сильнейшее магнитное поле противоЭДС катушки. Не поленитесь, посмотрите на ютубе эффект левитации за счет сверхпроводимости или когда магнит бросают через медную трубочку. Физика та же. Но в жизни, когда динамики нагружены друг на друга такого эффекта вы просто не заметите! Он есть, но вы его не заметите. Один динамик для другого представляет активное сопротивление, оно по любому вносит потери в контур. Если динамик закорочен накоротко, тогда да, заметить можно.
ДБ это пустое место на форуме. Мальчик для битья. Я, совсем не динамикостроитель, и смутно трактую физические законы, сколько ни задавал ему вопросов, ни разу не получил от него вразумительных ответов. Другие, думаю, тоже. На любой вопрос, он, вместо ответа, по-обезьяньи стучит себя в грудь, утверждая, какой он крутой специалист, и общаться с дилетантами, не умеющими считать, для него недостойно, добавляя при этом, как мантру, что меньше потерь больше потерь. Хрен ли ты сюда приходишь? На форум приходят, либо задавать вопросы, либо отвечать на них. Либо, когда по жизни ты ноль без палочки, а тут ты надеешься хоть виртуально, но ощутить видимость авторитета. Конечно, может я утрирую, но со стороны это выглядит очень похоже.
 
Последнее редактирование:
Вы хотя бы по этой фотографии можете определить тип громкоговорителя? И для чего здесь обмотка?
Это электромагнитная или электродинамическая головка?

А на фото ниже какой тип громкоговорителя?
Screenshot_20230922-101454~2.png


Нисколько не смущает перпендикулярный разворот магнитной системы? Инженеры несколько не в себе? Или дело не в них, а в любителях-дилетантах? Которые в одной конструкции смешали в кучу все.
 
Вы хотя бы по этой фотографии можете определить тип громкоговорителя? И для чего здесь обмотка?
Это электромагнитная или электродинамическая головка?


А на фото ниже какой тип громкоговорителя?
Посмотреть вложение 75191

Нисколько не смущает перпендикулярный разворот магнитной системы? Инженеры несколько не в себе? Или дело не в них, а в любителях-дилетантах? Которые в одной конструкции смешали в кучу все.
Не, с такими не сталкивался - вроде разговор о эл.динамических преобразователях.
 
Нисколько не смущает перпендикулярный разворот магнитной системы?
Нисколько не смущает что таких динамиков никто не делает и о таком конструктиве никто не говорит?

Как Д. Р. говорил ранее - подмена понятий =)
И какой смысл натягивать свое на чужое?

индуктивность не дает быстро изменяться току в катушке.
А напряжение куда делось? =)
 
Не, с такими не сталкивался - вроде разговор о эл.динамических преобразователях.
Верно. Это тот же самый электродинамический тип головок. Только вместо постоянного магнита установлен электромагнит. В остально конструкция и принцип действия тот же самый. По-прежнему существует звуковая катушка, утопленная в постоянное магнитное поле. Динамик по-прежнему работает на силе Лоренца, а не ЭДС Фарадея
 
Нисколько не смущает что таких динамиков никто не делает и о таком конструктиве никто не говорит?
Делают. Только для наушников. Арматурные наушники относятся к электромагнитному типу. Работают на ЭДС Фарадея
 
А напряжение куда делось? =)
Оно под углом к току. Угол - это время. Так всегда бывает где присутствует индуктивность. Когда ток отдельно и напряжение отдельно, получается фильтр, где ток с напряжением совпадают - мощность проходит, где расходятся - нет. Все же знают как работает индуктивность в фильтрах.
9700bd7f6617ff5b7fe889251e1c8155.jpg

Точно ведь знают.
 
Статус
В этой теме нельзя размещать новые ответы.

Статистика форума

Темы
3,312
Сообщения
264,538
Пользователи
2,551
Новый пользователь
Александр Н.
Назад
Сверху Снизу