Измерения гибкости центрирующей шайбы и подвеса

Интереса ради спросить хочу

Получили мы 0.64 значение гибкости - оК!
А к чему это значение?
Например длине?
Частоте?
Зная гибкость (Cms), можно посчитать Fs и Vas. Конечно при условии, что знаем Mms и Sd.
 
Кто-нибудь хоть раз видел измерение Cms, которое потом совпало с измерением Fs? Вот так чтобы не в фантазиях, а в реальной жизни.
 
Кто-нибудь хоть раз видел измерение Cms, которое потом совпало с измерением Fs? Вот так чтобы не в фантазиях, а в реальной жизни.
В этой же теме Станислав измерял.
6 часов был пост, там можно посмотреть на измерения, внести их в формулы и получить то, что уже измерено реально.
 
Это там где половина подвеса, шайбы, косичек и весь присоединённый воздух 0.22 грамма?
А-а, там ещё колпак 0.25 гр. Выходит всё-таки отрицательный вес воздуха. Не удивлён. Глупо удивляться тому что очевидно.
внести их в формулы
Точно, ввести в формулы все заявленные веса и получить часть комплектующих с отрицательным весом.
 
Два новых ППУ подвеса 5" под диффузоры 90мм (черный) и 88мм (серый)
3350276c-971b-43c9-95a6-65127164b51f.jpg


Результат измерения гибкости для черного подвеса:
1696329047227.png


Результат измерения гибкости серого подвеса:
1696329130849.png


Ширина волны серого подвеса 9мм, для черного 8.5мм

При условии если взять массу подвижной части (диффузор+катушка+колпак) как константу в 5 грамм, то получится так:

Резонанс ГГ с черным подвесом ~70.5Гц
Резонанс ГГ с серым подвесом ~78.1Гц

А по виду оба ППУ, особых геометрических различий нет, таких что уж существенно, а разница в гибкости практически 2 раза.
 
если взять массу подвижной части (диффузор+катушка+колпак) как константу в 5 грамм, то получится так:
А как же половина веса подвеса? Уже не считается подвижной частью? Зачем тогда при расчёте площади эту половину всё время пытаются прибавить? Это же круто: некая площадь есть, а её массы нет. Ещё в соседней теме вес тока насчитали. Когда нобелевку отмечать будем?
 
А как же половина веса подвеса?
Сейчас выясним, какую половину брать, верхнюю или нижнюю

Итого, есть диффузор заводской, с уже приклеенным на заводе подвесом, который ранее фигурировал с так называемой отрицательной массой по "рутковскому":
9d58062c-58fb-4dbc-b178-5be49018c71c.jpg

Измерить сухую массу диффузора возможности нет, но можно косвенно определить. Но определенна ранее гибкость! 1.249мм/Н

Для этого берем и взвешиваем подвесы что есть под рукой, имеющие схожий материал, и форм-фактор:
38aa4b21-b38f-40c6-9fad-a6ef8d52918e.jpg

Вот подвес "черный", которые был представлен выше, у него гибкость 3.29мм/Н и масса 2.87 грамм

c06fb689-0145-4187-9ae1-eedaecec9e8a.jpg

Вот подвес "серый", который был так же выше представлен, у него гибкость 1.895мм/Н и масса 2.3 грамма

Просматривается тенденция, что чем меньше гибкость материала, тем сильнее он запечен и меньше масса, следовательно, если диффузор с массой 3.55 грамм, отнимем от него массу подвеса ~2.2 грамм, выходит так, что масса диффузора ~1.3 грамм.

Далее, катушка, которая так же мелькала несколько постами выше, имеет массу 1.74 грамм
d587a627-0b0a-4661-9ea9-810a37ee3418.jpg

Вот и колпак, целых 0.09 грамм

Ну и клей примерно 0.5 грамм, так как обильно промазывал стыки катушки и шайба с диффузором, в несколько заходов

Суммируем:
1696337199174.png

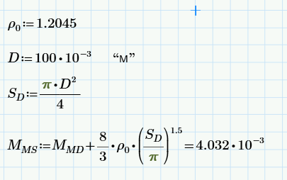
Ну вот где-то так, сухая масса подвижной части 3.68 грамм

Далее, добавляем присоединенную массу воздуха:
1696337224180.png

Ну вот, Mms равно 4.032 грамм, условно так как точная масса сухого остатка клея не известна, не перепроверял я это

По итогу, имеет Mms = 4.032 гибкость системы в сборе измеренная на стенде и без поводков, еще до сборки всей системы 0.677мм/Н из поста №48
Гибкость фактическая из за добавленной гибкости поводков, которое было найдено в посте №36, измеренное программой значение 0.64мм/Н из того же поста №48

Вспоминаем формулу определения резонанса:
1696337251192.png


Ничего не смущает "Рутковский?"
1696067395692-jpeg.75748

Да итоговая масса 4.032г а не 3.96г из за косвенного определения массы чистого диффузора, подвес отрывать из за тебя я не собираюсь. И резонанс не 99.89 а всего 99.07 расчетный.

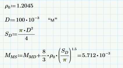
А теперь если мы добавим половину массы подвеса к диффузору:
1696337750454.png

Шайбу взял схожую от 20ГДС
4beeab6f-1fbf-4272-a8fd-00f228865cab.jpg


1696337854937.png


Mms = 5.71 грамм и определенной ранее гибкости в 0.64мм/Н, резонанс был бы:
1696337994849.png


83.2Гц явно не 99Гц как было измерено и программой limp и Rew, и LspLAB и просто от генератора подан синус и найден резонансный пик

Так всё таки, сколько половин масс подвесов и шайб брать то?
 
Два новых ППУ подвеса 5" под диффузоры 90мм (черный) и 88мм (серый)
Посмотреть вложение 75977

Результат измерения гибкости для черного подвеса:
Посмотреть вложение 75978

Результат измерения гибкости серого подвеса:
Посмотреть вложение 75979

Ширина волны серого подвеса 9мм, для черного 8.5мм

При условии если взять массу подвижной части (диффузор+катушка+колпак) как константу в 5 грамм, то получится так:

Резонанс ГГ с черным подвесом ~70.5Гц
Резонанс ГГ с серым подвесом ~78.1Гц

А по виду оба ППУ, особых геометрических различий нет, таких что уж существенно, а разница в гибкости практически 2 раза.
по моим наблюдениям от ремонтов 10ГДШ - их ппу подвесы делают и продают кому не лень, и даже в одной партии они бывают разные на ощупь, а потом - и на замерах разные.Технология +\- локоть. :(
 
Сравним, проведем консилиум, определим консенсус.
а надо?
У MacSys весомо, грубо, зримо методика расчета.
Логика налицо, как и результат.
Отрицать можно только с серьезным обоснуем, а его и на горизонте не видно.
 
Измерил гибкость резинового подвеса динамика 35ГДН-1-8
msg1675037935-64829.jpg
1698760769931.png


Итого 1.67мм/Н
 
Измерил гибкость резинового подвеса динамика 35ГДН-1-8
Посмотреть вложение 77491Посмотреть вложение 77492

Итого 1.67мм/Н
я сам до таких лаб не дойду никогда, но интересно, насколько зависимость гибкости от смещения линейна. Можно с двумя-тремя массами груза посчитать?
 
Предлагаю сделать взрослый шаг вперёд и выбросить все грузики =) Заменить их дробью мелкой и делать графики с фиксацией отклонений.
Далее будет вопрос с ЦШ а после и ответы подбора в систему.

Хорошая тема 👍
 
Дробь, мля! Шаг вперёд - два шага назад.
Ещё арифмометр прикупить и счёты деревянные.
Выбросить линейки и запастись дробью!!!!!
 
Скажу кратко, нелинейные характеристики подвеса и ц.шайбы на данном этапе меня мало интересуют. Так, чисто по просьбе попробую измерить гибкость с отклонением 0.5мм 1мм 1.5мм и 2мм, что бы просто дать ответ на вопрос.

У меня есть вопросы которые по факту задать некому, какое соотношение гибкости ц.шайбы и подвеса должно быть для каждого типа головки. В зональном режиме, по многим источникам, в расчетах вообще гибкостью можно принебречь, хотя это блее жесткий режим для подвеса чем поршневой со смещением подвижной части на +/- 3мм
 
Как- то давно купил Красного Луча для 30ГДС. Там кирза, а не подвес.
Он там и задуман кирзой. Притом с очень большим демпфированием.

Вот бы еще изменение в массе словить при креплении подводящих и без их крепления.
Половину массы выводов добавить к массе остальной части подвижки.
 
Измерил гибкость шайб и получил интересный результат

Вариант №1
1698831643472.jpeg
1698830892330.png


0.99mm/N

http://podvesy.sells.com.ua/tsentriruyuschaya-shajba-138h415-10gd-30e10gd-30b-35-gdn-2/p3488
Наружный диаметр - 138 мм.
Диаметр без нахлестов - 126 мм.
Внутренний диаметр - 41,5 мм.
Ступенька волны - 2 мм.
6 - волн
Жесткий, плотный
Глубина волны - 2 мм.

Вариант №2
1698831660913.jpeg
1698831033058.png


0.82mm/N


http://podvesy.sells.com.ua/tsentriruyuschaya-shajba-32t-138h41-mm/p4374
Наружный диаметр - 138 мм.
Диаметр без нахлестов - 130 мм.
Внутренний диаметр - 41 мм.
Ступенька волны - 4 мм.
Глубина волн - 4 мм.
6 - волн
Средняя жесткость

На ощуп они обе как картон, та что Вариант №2 тактильно кажется мягче, но по измерениям вся наоборот.

1698831528639.png
 
Измерил гибкость родной шайбы от диффузора 35ГДН измеренного выше
Родная шайба 35ГДН.jpeg
1698904630844.png


1.54mm/N

Шайба конечно повидала в своей жизни много чего, тактильно она как марля уже.

Если пересчитать гибкость родного подвеса и шайбы, то выходит общая гибкость 0.8мм/Н, при массе подвижной части ~27г, резонансная частота получается 35.5Гц, если еще учесть гибкость поводков и воздуха под колпаком, вполне возможен разброс от 35 и до 45Гц
 
Можно с двумя-тремя массами груза посчитать?
1698917368202.png

Теперь бы понять одну вещь, а какое смещение выбирать.

Обращаясь в первоисточнику https://www.klippel.de/products/rd-system/modules/spm-suspension-part-measurement.html гибкость нелинейная тут и опровергать нечего, но для начального этапа подбора материалов, наверное выбирать смещение равное смещению диффузора на "желаемой" частоте резонанса.
 
Последнее редактирование:
Посмотреть вложение 77568
Теперь бы понять одну вещь, а какое смещение выбирать.

Обращаясь в первоисточнику https://www.klippel.de/products/rd-system/modules/spm-suspension-part-measurement.html гибкость нелинейная тут и опровергать нечего, но для начального этапа подбора материалов, наверное выбирать смещение равное смещению диффузора на "желаемой" частоте резонанса.
155 г/2,3 мм = 1,53
106 г/1 мм = 1
49 г/0,4 мм = 0,9

При 50 и 100 г практически одинаково, а при 155 уже стала мягче. Причем для подвеса 35гдн это еще и не ход.
 
Посмотреть вложение 77568
Теперь бы понять одну вещь, а какое смещение выбирать.

Обращаясь в первоисточнику https://www.klippel.de/products/rd-system/modules/spm-suspension-part-measurement.html гибкость нелинейная тут и опровергать нечего, но для начального этапа подбора материалов, наверное выбирать смещение равное смещению диффузора на "желаемой" частоте резонанса.
а возможно, что при таких мизерных смещениях ошибка чисто в их измерении?
 
а возможно, что при таких мизерных смещениях ошибка чисто в их измерении?
Да возможно, по этой причине я делаю несколько замеров подряд, и нахожу то значение которое максимально больше раз повторяется

Измерил гибкость ППУ подвеса под динамики серии 10ГД-30 (35ГДН)

1699012823005.jpeg


Размеры :

A - 190 мм.
B - 177 мм.
C - 145 мм.
D - 133 мм.
Наружный диаметр - 190 мм.
Внутренний диаметр - 133 мм.
Подвесы для 10ГДШ-1-4, 10ГДШ-102, 10ГД-36 / 10ГД-30 / 10ГД-30А / 10ГД-30Б / 10ГД-30Е / 20ГДН-1-8 / 25ГД-26-30 / 25ГД-26Б / 25ГД-26В / 35ГДН-1-4 / 35ГДН-1-8

1699012870849.png


Более линейная характеристика гибкости ~1.84мм/Н но тактильно он очень мягкий, а вот по гибкости не шибко то он и отличается от кирзы 35ГДН у которого ~1.6мм/Н
 
Последнее редактирование модератором:
155 г/2,3 мм = 1,53
106 г/1 мм = 1
49 г/0,4 мм = 0,9

При 50 и 100 г практически одинаково, а при 155 уже стала мягче. Причем для подвеса 35гдн это еще и не ход.
Хорошо, что жиже не стала!!!!
 
Повторил эксперимент из поста № 79 в наличии есть только шайба которая идет под номером 2. Использую теперь 3 груза с шагом 50грамм, и получил следующие результаты:
1699867312379.png

Получается так, что при малой амплитуде смещения за фактическую гибкость на который измеряются параметры головки в сборе необходимо принимать минимальную гибкость.

Взять такую же щайбу которая установлена на макете "35ГДН-1 с 4-х слойной катушкой", возможности пока что нет, но есть подозрение что результат может быть схож. И даже если прикинуть теоретически, что гибкость установленной шайбы при малом смещении так же может находится в районе 0.67-0.68ммН, и гибкость подвеса 0.9ммН, выглядеть это может как то так:
1699874469084.png

Еще стоит учесть наличие поводков, которые так же уменьшают итоговую общую гибкость системы.

Будем думать дальше.
 
Диффузор с подвесом - 5" ППУ (122х26) http://podvesy.sells.com.ua/diffuzor-s-podvesom-5quot-ppu-122h26/p4198
Наружный диаметр - 122 мм.
Внутренний диаметр - 26 мм.
Высота - 23 мм.
Вес - 3 грамм
Размер подвеса - 122х110х92 мм.
Высота волны - 5 мм.
Материал диффузора - целлюлоза
Материал подвеса - ППУ
Ширина волны - 9 мм.

photo_2023-09-18_11-15-24.jpg photo_2023-09-18_11-15-21.jpg photo_2023-09-18_11-17-26.jpg

IMG_4725-min.JPG IMG_4726-min.JPG IMG_4727-min.JPG

Вес:
  • 4,35
  • 4,34
  • 3,81
  • 4,06
 
Две пары по весу подобрались.
 
Класс. Шайба мягче подвеса. Или наоборот подвес жестче шайбы. И это ППУ, представь что там с тканевым.
 
Измерил гибкость нового подвеса 8"

1712220351642.png
1712220377906.png


Итоговая гибкость 1.7мм/Н, можно сказать линейная гибкость.
 
Измерил гибкость подвеса, который был установлен на головку JBL 408G

1712574352711.png
1712574437729.png


Гибкость немного нелинейная, но при этом и достаточно большая, среднее значение выходит 3.4мм/Н
 

Статистика форума

Темы
3,312
Сообщения
264,538
Пользователи
2,551
Новый пользователь
Александр Н.
Назад
Сверху Снизу