8" НЧ на магните 50ГДН-3

На 8 Ом L больше ведь.
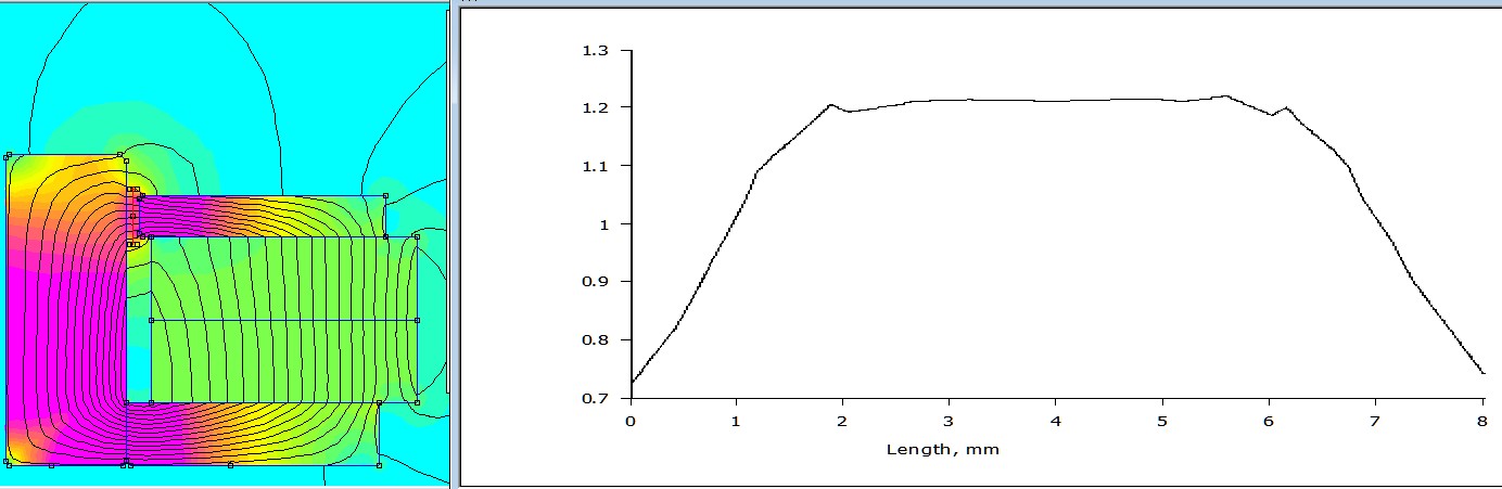
1670918807214.png

h намотки для одинакового кол-ва витков в слое, в реале она будет больше
 
Последнее редактирование:
Вот что таблица животворящая делает.
Оптимальный наружный зазор совпадает с максимальной L.
 
Всё-таки удалили упоминание про вес, а совет сделать тяжеленную катушку с мизерной L почему-то оставили. Раз оставили - смотрите на вредные советы и делайте наоборот.
Напомню, фланец 6 мм, и начнем сначала: с теории увеличения мощности мотора и L в зазоре, то да логично затолкать чем больше витков в зазор и сделать катушку в высоту фланца, но не будет хода, и добротность будет слишком низкая. Так как геометрия МС не подвергается изменениям, в нашем случае нужно искать компромис между ходом и L в зазоре, как выше советовали, я думаю что провод 0,224 двумя сразу, и 4 слоя, длиной 12 мм, в параллель лучший вариант заполнения зазора не спец проводом.
Напомню вопрос про плохие динамики, нет динамиков плохих/хороших что это за термин качества такой, есть динамики с разными параметрами, даже высокодобротные динамики в правильном оформлении могут звучать, в НЧ звене главный показатель это оформление, а динамики с добротностью 0.2 тяжело применять в домашних условиях!

Начнём с того что о добротности 0.2 большинство может только мечтать.
У меня получалось добиться в 12 самодельной головы (очень важно без спец деталей)добротность 0.18, но получить с него низа было сложно!
Жаль что мало кто до сих пор понимает что такое добротность. Только дураки рассчитывают что добротность можно скомпенсировать каким-то там оформлением.
Да ладно, все просто: чем ниже добротность тем персонал у хорошего начальника ответственнее работает, при высокой добротности никто ничего не делает, а только бухают и делают вид что делают, ну ходят туда сюда, не полезная работа, халатность персонала, маленький L у начальника.

бас вместо того, чтобы его слышать.
Его можно только увидеть, но невозможно услышать из-за АКЗ, Д.Р. ;)
 
на практике В будет поменьше, но всё достаточно вкусненько выходит:
Посмотреть вложение 51211

а если на нижний флянец приклеить железное кольцо, ну.. например такое, то ещё вкуснее выходит
Посмотреть вложение 51215

ой, на другом фото увидел, что керн на 5мм торчит над флянцем. правильнее будет так:
Посмотреть вложение 51219Посмотреть вложение 51220
Какой диаметр доп железа, что Вы рисовали?

Нашел у себя фланцы:
80х8 мм,
82х5,5 мм,
114х3,8 мм
90х3 мм
Есть смысл их доклеивать сзади? Или может несколько. Это единственный вариант доработки МС, что могу сделать.

Схематически набросал МС с парой подходящих фланцев, что имеют наибольшее сечение на повороте керн-нижний фланец.
5678.png

у флянцев дырки какие?
80х28х8 мм
82х27х5,5 мм
114х25х3,8 мм
90х25х3 мм
 
Последнее редактирование:
я взял из Ваших самый большой, один от себя. В принципе, тенденция понятна, но за разъяснениями надо к

NiCobalt

идти, а

Дмитрий Рутковский

уже их дал.
 

Вложения

  • Screenshot_10.jpg
    Screenshot_10.jpg
    96.3 KB · Просмотры: 109
  • Screenshot_12.jpg
    Screenshot_12.jpg
    120.4 KB · Просмотры: 105
  • Screenshot_13.jpg
    Screenshot_13.jpg
    104.2 KB · Просмотры: 105
Последнее редактирование:
Схематически набросал МС с парой подходящих фланцев
Сверху нарисовать вера в потери не позволяет?

Константин, пририсуйте этим упрямцам фланец 114 толщиной 3.8. Надо только ему отверстие расточить.
 
Последнее редактирование:

Вложения

  • Screenshot_11.jpg
    Screenshot_11.jpg
    104.7 KB · Просмотры: 98
  • Screenshot_14.jpg
    Screenshot_14.jpg
    92.2 KB · Просмотры: 111
Нашел у себя фланцы:
....
Есть смысл их доклеивать сзади? Или может несколько. Это единственный вариант доработки МС, что могу сделать.
Просто их надо приложить к месту.
Если к нижнему фланцу они будут сильно притягиваться, когда трудно отодрать руками, тогда стоит их клеить. Если слабо - не стоит.
Точно результат этой манипуляции покажет Т-С, измеренные до, и после.
Самые большие потери в этой МС в месте кольцевой проточки на керне. Сделана она специально, для насыщения магнитной цепи. Что резко уменьшает искажения динамика.
Даже второй магнит "в противофазе" на нижний фланец ничего существенного не изменит.
Повлияет большее количество меди в зазоре, при чуть меньшей, чем в 50ГДН-3 высоте намотки.
У динамика будет существенно более сильный "мотор", чем у 50ГДН-3.

Минимальная полная добротность, которую получал в новой, свежеспроектированной головке, была 0,09. С плавной регулировкой до 0,35. Динамик 8 Ом.
 
Последнее редактирование:
Так как геометрия МС не подвергается изменениям, в нашем случае нужно искать компромис между ходом и L в зазоре, как выше советовали, я думаю что провод 0,224 двумя сразу, и 4 слоя, длиной 12 мм, в параллель лучший вариант заполнения зазора не спец проводом.

Может Вы сможете объяснить чем лучше мотать в 2 провода ? Какие при этом аргументы за это дело ?


Дима (админ) нужна 1 катушка а не 2 в 1 с подарками =) Дальше посмотрим какие варианты будут тут пока тупичок с 2 проводами =)


Всем остальным вопрос проще чем о катушках .

- Назовите способы уменьшения добротности =)
 
Модель надо подкорректировать - керн с кольцевой проточкой снаружи, Т-образный, и с отверстием внутри.
 
Спасибо. Не уверен что получится расточить дополнительный верхний фланец до точности сотых мм.

Модель надо подкорректировать - керн с кольцевой проточкой и отверстием.
Да, керн по виду как гриб. А отверстие вроде есть на моделировании, это половина МС.
 
Была же задача использовать заводской фланец, без всяких переточек, и дополнительных накладок.
 
Модель надо подкорректировать - керн с кольцевой проточкой снаружи, Т-образный, и с отверстием внутри.
нет не надо это же я делал модель =)

просто Константин добавил в неё железок и картинку обрезал удачно =)

доп. железка на нижнем фланце сл. толстая и имеет большое отверстие - не подходит.
Спасибо. Не уверен что получится расточить дополнительный верхний фланец до точности сотых мм.

... можно взять с второго динамика (шутка)
Реальность простая - если мс МИДа тогда не стоит с неё делать саб) никто же не сделает из купольника НЧ вот и тут ничего басового не получится.
Насос разумеется получится но к басовику это будет иметь дело посредственное. А Катушка состоящая из 2х параллельно включённых намоток это ошибка - как вид!
Саб не получится тоже индукция большая.

Оригинальная МС мусор т. к. магниты в данной конструкции не реализованы должным образом.
Ширпотреб =(
 
Кто тут назвал 50ГДН-3 "мидом" и ширпотребом? ))
Тому лучше здесь и не пИсать.

Оригинальная МС никакой не мусор. Очень даже достойная МС.
Вот посмотрим, какие параметры она обеспечит динамику с вариантом намотки номер два.
 
ох бл когда это закончится smile_1

керн с кольцевой проточкой снаружи, Т-образный
Да, керн по виду как гриб
50-gdn-3-30-ldsound.ru-4.jpg



... удивительно
Админ человек который не спец ни разу назвал данное решение грибом а Святослав огласил аж настоящим Т-керном.

Разумеется к Дмитрию вопросов нет он ведь и сам без ответов. Что же такое Т-керн?

Если что - на фото ширпотреб и к вопросу о направленном полюсе дела не имеет =)

Почему МС мидовая? да потому что никто не включает мозги =) Столько раз спрашивал в чем разница МС МИДа и басовика - ответа не было. Даже подсказки дал в виде картинок как детям но не дошло. А не дошло потому что знаний таких в голове нету =) И совет мотать 2 катушки включённые параллельно тому подтверждение ведь так никто и не дал ответа на вопросы заданные ранее.
А все потому что практика МАСТЕРОВ наших форумных она лишь в рамках переделок хлама советского в виде всяких гдн да гдш с гдв на пару с гдс. А ещё воображения =)
 
Может Вы сможете объяснить чем лучше мотать в 2 провода ? Какие при этом аргументы за это дело ?
Больше L в активном зазоре, лучше заполнение, аксиома плоского провода. Провод тонкий, чтоб получить нужное сопротивление мотаем сразу с 2-х катушек и соединяем в паралель, получается две идентичные катушки.
- Назовите способы уменьшения добротности =)
Повысить силу магнита, или магнитодвижущую силу, (намотка 4 слоя в 2 провода, без переделки МС)
Снизить резонансную частоту, увеличить демпфирование подвеса (сменить на другой, более гибкий)
Использовать медный каркас, токи фуко, (не рекомендую).
 
если есть эскиз керна, давайте, подкорректируем
Зачем эскиз, нужны точные размеры.
У меня сейчас нет в наличии отдельного нижнего фланца с керном от 50ГДН-3.
Может у Игоря Германовича сыщется, или в записях найдет размеры.

Токи Фуко можно уменьшить, если очень нужно. Продольными разрезами в каркасе.
Обычно токи полезны, для снижения механической добротности.
 
Последнее редактирование:
Больше L в активном зазоре, лучше заполнение, аксиома плоского провода. Провод тонкий, чтоб получить нужное сопротивление мотаем сразу с 2-х катушек и соединяем в паралель, получается две идентичные катушки.

А "лучше заполнение" если это параметр такой тогда складывается он из чего?
А кто намекнул о сопротивлении что оно лучше в случае намотки двух катушек параллельных?
А две катушки в итоге чем лучше чем одна?

И не сравнивайте с плоским. Понятия не имеете о чем речь просто повторяете глупости не думая. Как и бред о катушках в 2 провода.

Повысить силу магнита, или магнитодвижущую силу, (намотка 4 слоя в 2 провода, без переделки МС)
тут ошибка
Снизить резонансную частоту, увеличить демпфирование подвеса (сменить на другой, более гибкий)
тут перепутали причины и следствия
Использовать медный каркас, токи фуко, (не рекомендую).
тут непонимание очередное

... в целом набор очередной глупостей который к хорошему результату не приведёт. Оказывается чтобы добротность сделать меньшей решением есть поднять индукцию в зазоре. А ещё катушку в 2 провода применить она видите ли "сильнее" обычной. Медный каркас не рекомендуется т. к. токи фуко мешают... В итоге получится динамик для игры на дырку (фи) т. к. контроля должного он иметь не будет но болтаться будет достойно. Идеальный саб! ноту "*лять" будет отдавать =)
 
Последнее редактирование модератором:
Сказал всё конкретно, просто Вы ничего не поняли.
Вот вы постоянно несете чушь про меньше НЧ - больше НЧ, у вас неверные формулы для КПД, несогласованные параметры динамиков на сайте, гундосые динамики.
Я все конкретно сказал. А то, что вы ничего не поняли - так у вас нет соответствующего уровня подготовки.
 
Последнее редактирование модератором:
Ещё один дрочер на 8' ширик в тряпичном кульке облаял людей, но ничего конкретного так и сказал.
Сергей Вы динамиками занимаетесь? Вас я видел недавно похвалили =) Тогда если все достойно и мозги у Вас есть что мешает объяснить что намотка в 2 провода ошибка?
Варианты ответов есть? На вопрос понятное дело желание нету но может хотя бы отреагируете на глупости?



А с шириком все просто =)
У этой пары есть история =) В начале делались они для коробки после для щита а когда потянуло на 10" и стало ясно что динамики я не продам (не продам потому что цену сложить сложно т. к. магнитопровод менялся 2 раза а сами магниты кольца с 25гдн5 рама литая моя а подвижек стояло больше чем Вы соберете за год =)) и было принято решение отказаться и от щитов запихнув динамики некое оформление приятное глазу. Напомню что используются они на столе и подключены к пк. Ах да - рама динамика делалась не для установки её за фланец а за магнит через опять таки триногу =) Можно конечно и винтом в керн крепить Но модель мс под это не рассчитывалась!
 
Последнее редактирование модератором:
Они так рассчитывали что Дмитрий полезные советы удалит, но мракобесие не прошло. Есть шанс что советы превратятся в динамики. Было бы хорошо если будет сравнение его с динамиками сделанными по рекомендациям дилетантов.
Пришла мысль, заказать 2 катушки и попробовать. Измерить параметры.
Но для каждой катушки нужна своя подвижка. Плюс сборка-склейка-разборка-склейка.
Для себя лично будет очень полезно. Только тратится не охота, но видимо другого пути нет)
 
Последнее редактирование:
Пришла мысль, заказать 2 катушки и попробовать. Измерить параметры.
Но для каждой катушки нужна своя подвижка. Плюс сборка-склейка-разборка-склейка.
Для себя лично будет очень полезно. Только тратится не охота, но видимо другого пути нет)
Уже раз 100 писал, что первый динамик всегда выходит отстой. Так у всех без исключения, даже у самых крутых специалистов. Поэтому всегда есть отстойный динамик для сравнения, чтобы убедиться и напоминать себе как делать не надо. Не обязательно сравнивать со своим, не составляет труда найти начинающего любителя и предложить сравнение ему. Так же хорошо поднимает настроение сравнение с заграничным ширпотребом. Особенно если он усиленно разрекламирован и в сравнении участвует его владелец. Он же будущий заказчик.
 
Последнее редактирование модератором:
Пришла мысль, заказать 2 катушки и попробовать. Измерить параметры.
Но для каждой катушки нужна своя подвижка. Плюс сборка-склейка-разборка-склейка.
Для себя лично будет очень полезно. Только тратится не охота, но видимо другого пути нет)
Слишком простой вопрос чтобы подходить к нему практически. Деньги потратите а выхлоп нулевой.
Наперёд сказать могу что катушка в 2 провода менее ефективна и тяжелее чем если бы катушки были подключены последовательно.

кстати советую вспомнить тему параллельных и последовательных включений резисторов катушек и пр индуктивно связанных компонентов. заодно и подумать что там на басу нужно много тока или напряжения и почему.
А то одни подают на динамики мощность другие не знают ток там или напряжение.
 
Последнее редактирование модератором:
1. с подвесом, цш определились?
2. было бы интрересно сравнись в сабвуфере нууу с тем же 35ГДН-1-8 (25ГД-26Б) , надеюсь, найдётся в наличии
От 10ГД-30 подвижка и рама. Это для той, что в два провода.
Для Вашей из таблицы - нет конечно, не определился, но я так понимаю максимально легкую.

Изначально планировал взять катушку с МС от 50ГДН и поставить подвижку с рамой 8".
Катушка в 4 слоя - это уже "апгрейд" для моего задания, но попробовать не против.
 
Сами себя же топите

Тупичок олени smile_1
ну нету у человека возможности сделать новую МЦ, ну нету. Даже нет возможности на верхний флянец нашлёпку расточенную сделать. Да, Вам и Д.Р. изначально видно, что из того, что есть правильного саба особо не выйдет. Но ведь будет лучше, чем обычный 8" унылый мидбас.
 
Последнее редактирование:
Для Вашей из таблицы - нет конечно, не определился, но я так понимаю максимально легкую
По поводу подвижки,....
ДРДБ «делает», якобы, максимально легкие подвижки. (Он их конечно не делает, а заказывает, возможно на диффузоре) НО, по поводу тканевого подвеса, его необходимо будет пропитывать, вопрос чем и какую жесткость нужно получить? И второе, максимально легкий диффузор.., тоже не просто. Если он легкий, то еще не значит, что хороший, он должен быть еще и прочный. Его необходимо тоже пропитывать укрепляющими пропитками или это делают сразу при изготовлении или самому придется. Обо всем этом Вам ДРДБ во век не скажет, будет только свою заунывную песню петь, больше- меньше, длинней- короче....
 

Статистика форума

Темы
3,312
Сообщения
264,542
Пользователи
2,551
Новый пользователь
Александр Н.
Назад
Сверху Снизу